近日,公司赵德敏副教授团队在智能材料波能发电理论和实验研究方面取得新进展,相关研究成果《能量采集用锥形介电弹性体薄膜结构的振动研究》(Vibration investigation of conical dielectric elastomer thin membrane for energy harvesting system)发表在《Journal of Sound and Vibration》。《Journal of Sound and Vibration》是振动领域的国际顶级期刊SCI二区。论文第一作者为赵德敏副教授,通讯作者为赵德敏副教授和刘建林教授,williamhill中文官网为第一署名单位和唯一通讯单位。该研究得到国家自然科学基金面上项目及山东省自然科学基金项目、中央高校基本科研业务费项目的联合资助。

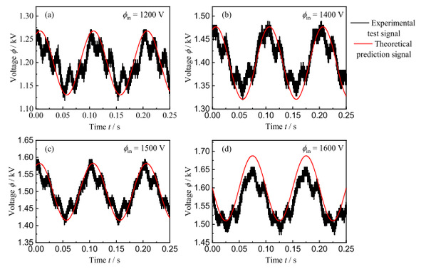
该研究建立了锥形介电弹性体薄膜-质量块组成的锥形能量采集结构的的动力学模型,并搭建了该结构的实验平台,并进行了数值仿真。实验输出电压和理论预示电压基本吻合,证实了此动力学模型研究锥形介电弹性体能量采集结构的可行性。该项研究能为介电弹性体智能材料应用于波浪能发电奠定了理论和实验基础。
论文链接:https://doi.org/10.1016/j.jsv.2023.118073


学年校历