【学术成果】博士生张旭在预应力板壳结构的导波频散特性研究方面取得新进展

来源:williamhill威廉希尔官网发布时间:2024-06-23浏览次数:580

近日,公司油气储运工程学科博士研究生张旭在预应力板壳结构的导波频散特性研究方面取得新进展,相关研究成果《A novel multi-step superposition model for the dispersion analysis of multiaxial prestressed plate-like structures》发表在《Thin-Walled Structures》。《Thin-Walled Structures》是薄壁结构领域的国际顶级期刊,目前影响因子为5.7(SCI一区Top)。论文第一作者为博士研究生张旭,通讯作者为刘刚教授,合作作者包括陈雷教授和博士研究生马云修等,williamhill中文官网为第一署名单位和唯一通讯单位。该研究得到williamhill中文官网研究生创新基金项目的资助。

 

论文首页

明确多轴预应力板壳结构的频散特性对于导波无损检测的工程应用至关重要。然而,现有的解析和半解析模型忽略了预应力引起的本构和几何非线性,无法实现准确计算预应力对导波相速度和群速度的影响。针对上述问题,论文提出了一种多步叠加分析模型来研究多轴预应力板壳结构的导波频散特性。该模型的核心思想是引入一个初始构型来描述未变形状态和最终状态之间的静态预变形,并将弹性波扰动叠加在初始预变形上进行特征频率分析。其中,超弹性材料的应变能密度通过解继承被设为两分析步之间的相关变量。

 

多步叠加的频散分析模型示意图

 

频散分析模型的实验验证结果

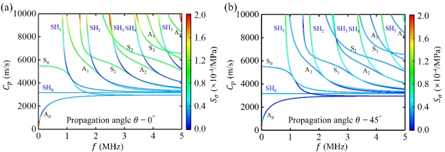
本文着重研究了任意多轴预应力对6061-T6铝板中导波相速度的影响。结果表明,多轴预应力在低频散频段引起的导波相速度变化可以分解为三个单轴预应力的影响之和。通过应力敏感性分析,发现SH0模态对预应力变化的敏感程度始终很低,可以降低结构应力对导波信号的干扰,从而提高导波损伤定位技术的可靠性。本研究为导波无损检测技术在工程应用中激发模态和频率的优选提供了理论指导。

 

板壳结构中导波模态的应力敏感性分析

论文链接: https://doi.org/10.1016/j.tws.2024.112138